- Potential energy of overlapping uniformly charged one electron spheres with same radius

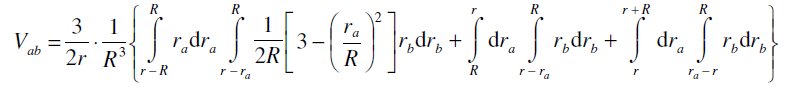
Combining the different terms gives the following integral:

This is not difficult to evaluate and leads to 12 terms. Simplification gives the final expression:
For r -> 0 we get the old expression 6/5R for the interaction of two electrons in one cloud. for r = 2R we have separated spheres with V = 1/2R.

- Potential energy of overlapping uniformly charged one electron spheres with different radii

Evaluation and collection of terms gives the result:

 - Small sphere inside larger sphere

Potential energy of concentric spheres, R=0, with same size, P=Q, yield again 6/5R. Concentric spheres with different sizes (e.g. 1s-2s overlap) have the potential energy:


- Potential energy of overlaps of s- and p-type spheres

- Potential of overlaps of σ- and π-spheres
- Exchange integrals
He(1s2s), singlet, no exchange but Coulomb repulsion:

He(1s2s), triplet, with exchange and Coulomb repulsion:

He(1s2p), singlet, no exchange but Coulomb repulsion:

He(1s2p), triplet, with exchange and Coulomb repulsion:

Exchange lenses:
lens 1
lens 2
lens 3
|