Kimball - Slater connection


In a famous paper, J.C. Slater has introduced atomic orbitals without spherical nodes, today called "STO", Slater-Type-Orbitals (Phys.Rev. 36(1930)57-64; see also C. Zener, Phys.Rev. 36(1930)51). They are offered as a simple basis in every QC program package. For an introduction, see P.W. Atkins, Molecular Quantum Mechanics, 2nd ed., Oxford, 1983, p.234.
Here we show, that Kimballs model can be computed in an equivalent form:
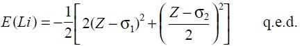
The energy of an atom, starting with He, has been determined by Slater to be:

The terms in the angle bracket are contributions from each electron shell, σ screening constants, N number of electrons per shell, and the numbers in the denominator the effective principle quantum number n [1,2,3,3.7,4,4.2, ...]. Here is an example for the Li atom:

Z = 3, and σ1 = 0.3, σ2 = 2*0.85, empirically according to Slater.
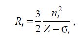
After Kimball (see Tutorial, p.23ff) the same expression is:

whereby R1 radius of Li(1s2) core, R2 radius of Li(2s) sphere. Without correlation correction Kimball's nonempirical screening constants are σ1 = 0.4, σ2 =2*1.0. We determine the minimum of the total energy as function of the two radii and set the partial derivatives to zero:

Insert this back into the energyfunction and generate an expression identical to Slater's:

It is easy to generalize this to an arbitrary number of terms:

the index i starts with 1 (N1 = 1, σ1 = 0, n1 = 1 corresponds to H). With Kimball we have:

setting the partial derivatives to zero gives:

insertion into energyfunction yields Slater's general expression:

Hence, Kimballs's atom model is equivalent to Slater's. The precision of both depends on an empirical or quantum chemical calibration of screening constants and effective quantum numbers.
Since Slater's paper several improved sets of these numbers have been published: E.Clementi & D.L.Raimondi JCP 38(1963)2686; E. Clementi, D.L. Raimondi & W.P. Reinhardt JPC 47(1967)1300; E. Clementi & C. Roetti At.Data Nucl. Tables 14(1974)177

  derived by E. Schumacher 1961. Here first page of a lab note from sommer 1961: